CH5-2. 탐색 알고리즘, DFS/BFS의 학습
그래프의 기본 구조
- 노드, 간선
- 탐색 : 하나의 노드를 시작으로 다수의 노드를 방문하는 것.
- 프로그래밍에서 그래프를 표현하는 2가지 방식
- 인접 행렬 : 2차열 배열로 그래프의 연결 관계를 표현
- 인접 리스트 : 리스트로 그래프의 연결 관계를 표현
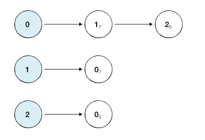
인접 행렬 방식
- 2차원 배열에 각 노드가 연결된 형태를 기록하는 방식
- 연결되어 있지 않은 노드끼리는 무한의 비용으로 선언한다.
- 코드에서 999999999 등의 값으로 넣는데, 그 이유는 논리적으로 정답이 될 수 없는 큰 값이기 때문이다.

#include <iostream>
#define INF 999999999 // 무한의 비용 선언
using namespace std;
// 2차원 리스트를 이용해 인접 행렬 표현
int graph[3][3] = {
{0, 7, 5},
{7, 0, INF},
{5, INF, 0}
};
int main(void) {
// 그래프 출력
for (int i = 0; i < 3; i++) {
for (int j = 0; j < 3; j++) {
cout << graph[i][j] << ' ';
}
cout << '\n';
}
}
결과
0 7 5 7 0 999999999 5 999999999 0
인접 리스트 방식
- 연결 리스트에 각 노드가 연결된 형태를 기록하는 방식
- C++과 자바는 별도의 연결 리스트 기능의 표준 라이브러리를 제공한다. (+파이썬은 append()와 메소드 제공)

#include <iostream>
#include <vector>
using namespace std;
// 행(Row)이 3개인 인접 리스트 표현
vector<pair<int, int> > graph[3];
int main(void) {
// 노드 0에 연결된 노드 정보 저장 {노드, 거리}
graph[0].push_back({ 1, 7 });
graph[0].push_back({ 2, 5 });
// 노드 1에 연결된 노드 정보 저장 {노드, 거리}
graph[1].push_back({ 0, 7 });
// 노드 2에 연결된 노드 정보 저장 {노드, 거리}
graph[2].push_back({ 0, 5 });
// 그래프 출력
for (int i = 0; i < 3; i++) {
for (int j = 0; j < graph[i].size(); j++) {
cout << '(' << graph[i][j].first << ',' << graph[i][j].second << ')' << ' ';
}
cout << '\n';
}
}
결과
(1,7) (2,5) (0,7) (0,5)
인접 행렬 방식 VS 인접 리스트
- 메모리 측면
- 인접 행렬의 경우, 모든 관계를 저장하기에 노드 개수가 많을수록 메모리가 불필요하게 낭비된다.
- 인접 리스트는 연결된 정보만 저장하기 때문에 메모리를 효율적으로 사용한다.
- 속도 측면
- 인접 리스트는 인접 행렬 방식에 비해 특정한 두 노드가 연결되어 있는지에 대한 정보를 얻는 속도가 느리다.
- 인접 리스트는 차례대로 확인, 연결된 인접 노드를 모두 탐색하는 순회탐색이 필요하다.
DFS (Depth-First Search)
깊이 우선 탐색이라고도 부르며, 그래프에서 깊은 부분을 우선적으로 탐색하는 알고리즘.
- 스택 자료구조를 이용한다.
- 탐색 시작 노드를 스택에 삽입하고 방문 처리를 한다.
- 스택의 최상단 노드에 방문하지 않은 인접 노드가 있으면 그 인접 노드를 스택에 넣고 방문 처리를 한다. 방문하지 않은 인접 노드가 없으면 스택에서 최상단 노드를 꺼낸다.
- 2번의 과정을 더 이상 수행할 수 없을 때까지 반복한다.
*방문처리? 스택에 한 번 삽입되어 처리된 노드가 다시 삽입되지 않게 체크하는 것. (방문처리=스택에 넣기)
- 인접한 노드가 여러 개라면 번호가 낮은 순서부터 처리한다.










-

- 코드로 구현할 , 스택을 재귀 함수로 이용.
#include <iostream>
#include <vector>
using namespace std;
bool visited[9];
vector<int> graph[9];
// DFS 함수 정의
void dfs(int x) {
// 현재 노드를 방문 처리
visited[x] = true;
cout << x << ' ';
// 현재 노드와 연결된 다른 노드를 재귀적으로 방문
for (int i = 0; i < graph[x].size(); i++) {
int y = graph[x][i];
if (!visited[y]) dfs(y);
}
}
int main(void) {
// 노드 1에 연결된 노드 정보 저장
graph[1].push_back(2);
graph[1].push_back(3);
graph[1].push_back(8);
// 노드 2에 연결된 노드 정보 저장
graph[2].push_back(1);
graph[2].push_back(7);
// 노드 3에 연결된 노드 정보 저장
graph[3].push_back(1);
graph[3].push_back(4);
graph[3].push_back(5);
// 노드 4에 연결된 노드 정보 저장
graph[4].push_back(3);
graph[4].push_back(5);
// 노드 5에 연결된 노드 정보 저장
graph[5].push_back(3);
graph[5].push_back(4);
// 노드 6에 연결된 노드 정보 저장
graph[6].push_back(7);
// 노드 7에 연결된 노드 정보 저장
graph[7].push_back(2);
graph[7].push_back(6);
graph[7].push_back(8);
// 노드 8에 연결된 노드 정보 저장
graph[8].push_back(1);
graph[8].push_back(7);
dfs(1);
}
결과
1 2 7 6 8 3 4 5
- 데이터 개수가 N인 경우 O(N) 소요.
BFS (Breadth-First Search)
너비 우선 탐색이라고도 부르며, 그래프에서 가까운 노드부터 탐색하는 알고리즘.
- 큐 자료구조를 이용한다.
- 탐색 시작 노드를 큐에 삽입하고 방문 처리를 한다.
- 큐에서 노드를 꺼내 해당 노드의 인접 노드 중에서 방문하지 않은 노드를 모두 큐에 삽입하고 방문 처리를 한다.
- 2번의 과정을 더 이상 수행할 수 없을 때까지 반복한다.
- 인접한 노드가 여러 개라면 숫자가 낮은 순서부터 처리한다.




-

- 코드로 구현할 때, queue 이용.
```c++
#include
#include #include using namespace std;
bool visited[9];
vector
// BFS 함수 정의
void bfs(int start) {
queue
int main(void) { // 노드 1에 연결된 노드 정보 저장 graph[1].push_back(2); graph[1].push_back(3); graph[1].push_back(8);
// 노드 2에 연결된 노드 정보 저장
graph[2].push_back(1);
graph[2].push_back(7);
// 노드 3에 연결된 노드 정보 저장
graph[3].push_back(1);
graph[3].push_back(4);
graph[3].push_back(5);
// 노드 4에 연결된 노드 정보 저장
graph[4].push_back(3);
graph[4].push_back(5);
// 노드 5에 연결된 노드 정보 저장
graph[5].push_back(3);
graph[5].push_back(4);
// 노드 6에 연결된 노드 정보 저장
graph[6].push_back(7);
// 노드 7에 연결된 노드 정보 저장
graph[7].push_back(2);
graph[7].push_back(6);
graph[7].push_back(8);
// 노드 8에 연결된 노드 정보 저장
graph[8].push_back(1);
graph[8].push_back(7);
bfs(1); } ```
결과
1 2 3 8 7 4 5 6
- 데이터 개수가 N인 경우 O(N) 소요.
- 실제 수행시간이 DFS보다 좋다.
이미지 출처:https://velog.io/@sohi_5/algorithmDFS , https://m.blog.naver.com/PostView.naver?isHttpsRedirect=true&blogId=ndb796&logNo=221230944971 ,